What is it about?
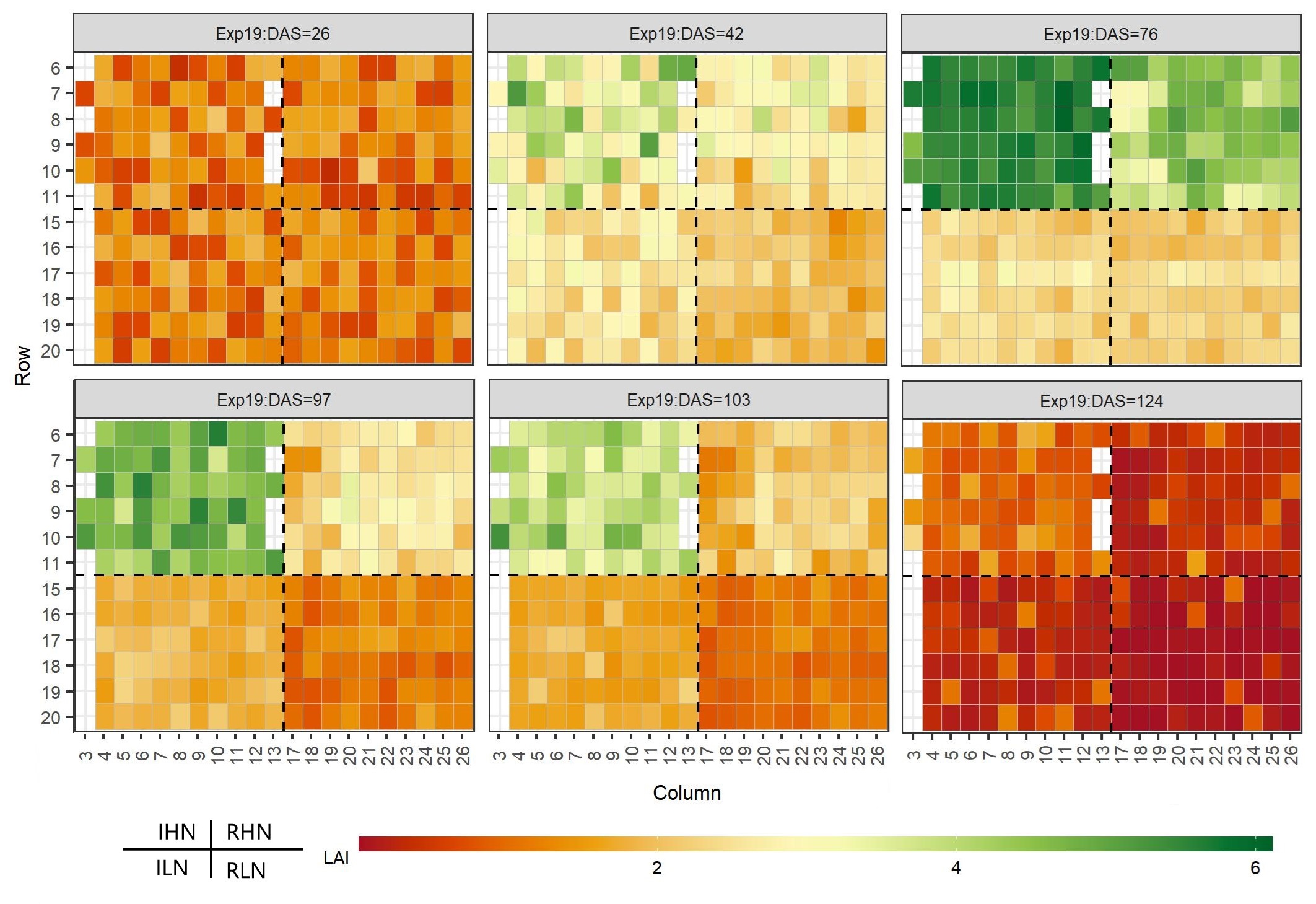
The stable estimation of leaf area index (LAI) retrieved with sensing technologies is strongly affected by the spatiotemporal variations in background caused by spatial variability of soil, seasonal senescence of vegetation, and mixed pixel issues of images. This research develops a background-resistant prediction model that supports accurate estimation of LAI across diverse soil backgrounds for the entire growth season in field conditions.
Featured Image
Photo by Zhao Yangjun on Unsplash
Why is it important?
Starting from the theory of spectral inversion, the author explores two strategies to improve the generalization ability of the model under different soil backgrounds. The first strategy is to expand the range of soil reflectance spectra in the training set to increase the diversity of the training samples. The second strategy is to optimize the canopy spectral indices used as inputs for the prediction model to extract common features related to leaf area index (LAI) under different soil backgrounds. Validation results on independent simulated datasets and two years of experimental datasets indicate that the universal model employing these two strategies can achieve the same accuracy in estimating LAI under unknown different soil backgrounds and can stably estimate LAI across different growth stages of wheat. For early sparse canopies (LAI less than 0.5 m²/m²), this universal model reduces the prediction error of LAI under different soil backgrounds from the original 0.5-3 m²/m² (baseline model without the proposed strategies) to within 0.25 m²/m².
Perspectives
We proposed a methodology to establish a background-resistant model from synthetic data simulated by a radiative transfer model without any ground calibration. Comprehensive validation on synthetic, augmented, and experimental data indicates this model can enable a stable and accurate LAI prediction from isolated UAV-based multispectral images over wheat growing season for diverse soil backgrounds in field conditions, largely enhancing the LAI estimation effeciency for spatiotemporal mapping.
Dr Qiaomin Chen
Read the Original
This page is a summary of: A Generic Model to Estimate Wheat LAI over Growing Season Regardless of the Soil-Type Background, Plant Phenomics, January 2023, Tsinghua University Press,
DOI: 10.34133/plantphenomics.0055.
You can read the full text:
Contributors
The following have contributed to this page







